所在位置:首页 > 科学研究 > 果树研究中心 > 永盈彩票在黑莓小浆果硬度形成基础研究方面取得新进展
433
科技管理处
2019.10.14
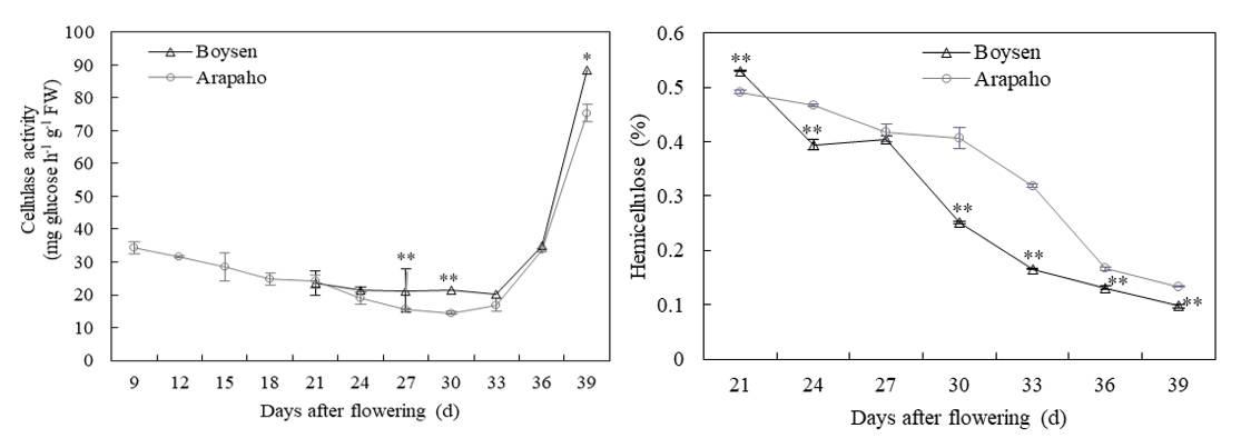
悬钩子属小浆果黑莓果实硬度高低直接决定其货架期长短。果树研究中心黑莓课题组以硬度差异明显且生育期相似的软果型‘Boysenberry’和硬果型‘Arapaho’品种黑莓为材料,在绿果期后转色至成熟进程中对果实细胞解剖结构和微形态特征进行观察,均发现发育成熟前果肉细胞动态变化较小,而自花后33d至成熟时中果皮细胞细胞壁裂解程度加剧,与其果实硬度变化趋势一致,推断黑莓果实硬度主要由成熟后期果皮细胞细胞壁裂解程度决定。对两品种转色至成熟进程多种不同细胞壁降解酶活性和细胞壁多糖物质进行比较,发现多聚半乳糖醛酸酶(Polygalacturonase,PG)和纤维素酶(Cellulase)活性均自花后33d开始急剧升高直至完全成熟,推测这两种酶或与黑莓果实软化关系密切,而纤维素酶活性和半纤维素物质在两品种果实成熟进程中存在明显差异,揭示纤维素酶可能在不同品种黑莓成熟果实硬度差异形成中起重要作用。相关研究论文‘Changes in pericarp morphology, physiology and cell wall composition account for flesh firmness during the ripening of blackberry (Rubus spp.) fruit’发表在‘Scientia Horticulturae’。
文章链接:https://www.sciencedirect.com/science/article/pii/S0304423819300913

