所在位置:首页 > 科学研究 > 植物生态与环境研究中心 > 永盈彩票在中山杉遗传图谱构建及生长性状遗传机理研究方面取得阶段性进展
323
植物生态研究中心
2018.11.12
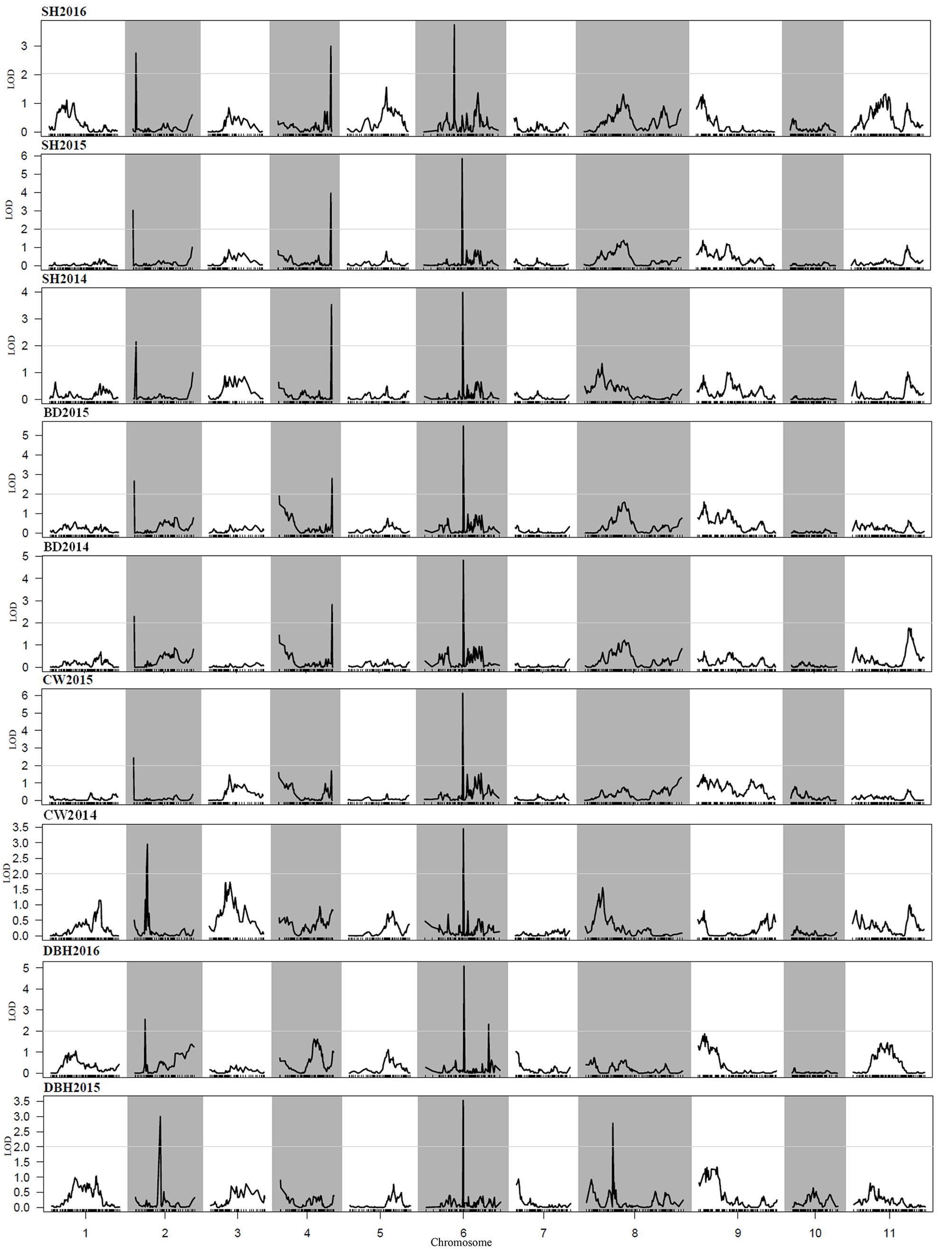
“中山杉”是落羽杉属种间杂交优良无性系的总称,在我国南方广泛种植,具有重要的经济和生态价值。生长性状是林木改良的首要目标,而高密度连锁图谱的构建是有效鉴定影响生长的关键数量性状位点(QTL)的基础。项目组以落羽杉╳墨杉回交一代为材料,采用特异位点扩增片段测序(SLAF-seq)方法构建高密度遗传图谱。通过RsaI 进行酶切,共获得 2,016.336M reads(403.16 Gb),母本落羽杉的平均测序深度为28.49╳,父本墨杉为25.18╳,子代为11.12╳。通过reads聚类共开发524,662 个 SLAF 标签,其中多态性SLAF标签共有 249,619 个,其中 135,052 个标签成功编码,以 aa╳bb 型标签进行图谱构建,可以用于遗传图谱构建的标签有72,466 个,最终,图谱由6156个SLAF标记构成11个连锁群,总图距1137.86cM,平均图距为0.18cM。基于该图谱,测定了2~3年的苗高、基径、冠幅和胸径4个生长相关性状,进行数量性状位点分析。利用复合区间作图法对不同年份性状进行QTL分析,共检测到7个QTL。利用完备区间作图法,共检测到13个QTL。两种方法都检测到的QTL有5个,其中3个QTL(q6-2、q4-2和q2-1)在至少两个性状中被检测到。进一步通过生物信息学分析发现在q4-2内可能包含一个富含亮氨酸重复受体样激酶基因的同源序列。该图谱是目前杉科植物中饱和度最高的图谱,将为今后的比较作图、基因组组装和标记辅助选择提供有用的信息。相关论文“High-density genetic map construction and quantitative trait loci identification for growth traits in (Taxodium distichum var. distichum × T. mucronatum) × T. mucronatum”发表于期刊BMC plant biology。

图1. 11个LG的SLAF标记的分布。短线表示标记,偏分离标记用红色突出。X轴表示LG,Y轴表示遗传距离(cM为单位)。

图2. 利用R/QTL软件的CIM方法对不同年份4个生长性状进行QTL分析。X轴表示11个LG上的图谱位置(cM),Y轴表示LOD值。图上的水平线代表LOD阈值。“SH2016”、“ SH2015”和“SH2014”分别代表2016、 2015和2014年幼苗高度。“BD2015”和“BD2014”分别代表2015和2014年的地径。“CW2015”和“CW2014”分别代表2015和2014年的冠幅。“DBH2016”和“DBH2015”分别代表2016和2015年的胸径。
本研究获得国家青年基金(31700588)、江苏自然科学基金(BK20160601)和(BK20150551)、江苏省农业科技自主创新基金[CX(16)1005]、江苏省高等学校优先学术发展项目(PAPD)资助。