所在位置:首页 > 科学研究 > 植物生态与环境研究中心 > 永盈彩票在提高中山杉406耐盐适应性研究方面取得重要进展
461
植物生态与环境研究中心
2023.06.29
近日,永盈彩票在中山杉406耐盐适应性研究中取得重要进展。相关研究成果以题为“Moderate application of nitrogen augments the growth of Taxodium hybrid ‘Zhongshanshan 406’ plants in coastal soils”发表于国际著名农林科学领域杂志Scientia Horticulturae(中科院2区top期刊,IF=4.34)。
氮是植物生长过程中必需的大量元素之一。在盐碱地植物种植过程中,施用氮肥是改善植物生长状况,提高植物耐盐性,增加目标产量的重要途径。但是不适当的过量施用氮肥,也会加重植物受盐害程度。因此,如何在耐盐植物的培育过程中,协调好促进营养生长和防止盐害的关系,是一个值得研究的科学问题。
中山杉406为落羽杉属杂交品种,具有速生、耐水湿、耐盐碱、抗病虫害和材质优良等优点,广泛用于沿海防护林、农田林网和城市绿化建设及湿地生态修复。该研究以不同盐度土壤和氮肥施用量为切入点,从生理-表型-离子含量3个层次开展了相关研究,探索出了中山杉406在不同盐度土壤相应最适氮肥施用量,并揭示了中山杉406的耐盐适应机理,保证中山杉406在盐渍化土壤上能实现最佳生长表现,从而有效利用滨海围垦区盐渍化土壤资源。
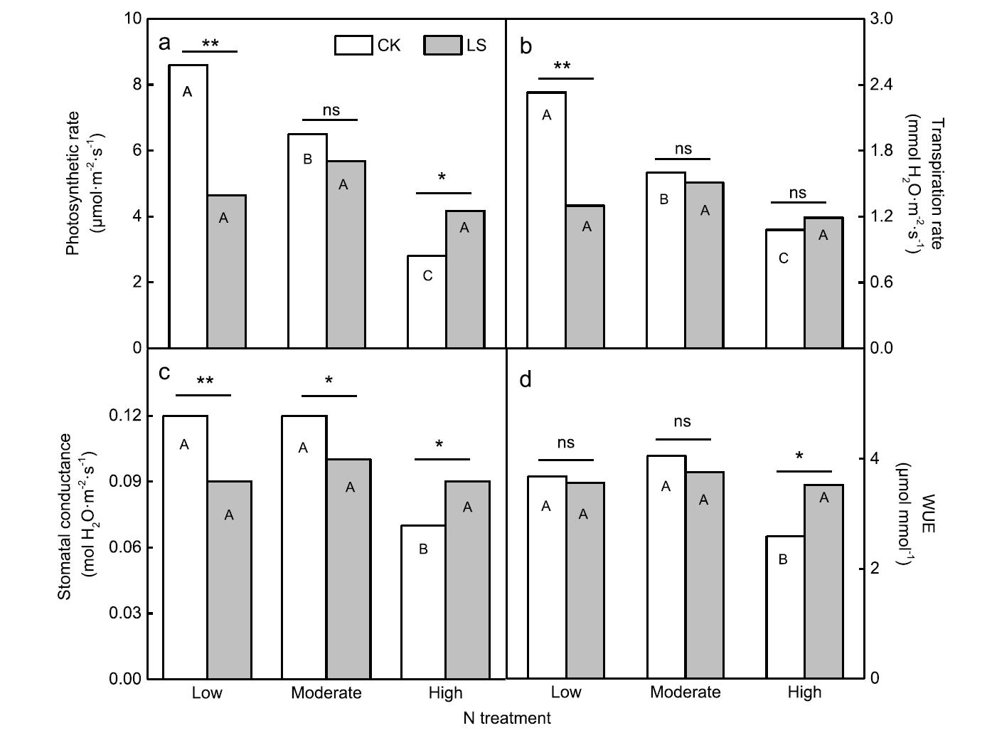
研究发现,在高盐土中,中山杉406生长受到显著影响,在低盐土中,中山杉全部存活,但是生物量相比于CK有显著降低。在低(50 kg/ha)、中(150 kg/ha)、高(250 kg/ha)3个用量的氮肥处理下,中山杉406在耐盐性方面表现出了极大的差异。其中,低盐胁迫下中度氮肥处理效果最显著,在增加生物量的同时增强了中山杉406的光合氮利用效率。主要原因是氮元素通过在叶片的积累促进了植物体内蛋白质的合成,以此抵御盐分导致的渗透胁迫。氮元素还促进了叶绿素的合成,从而维持了中山杉406在低盐胁迫下的光合作用。中山杉406各个器官内积累的Na+、K+、Ca2+、Mg2+等阳离子在提高中山杉耐盐性方面也发挥了至关重要的作用。而高用量氮肥反而抑制了中山杉406对土壤中磷、钾和有机质的吸收,因而未能达到提高耐盐性的效果。本研究表明施用中等氮肥量对于提高中山杉406的耐盐性是充分可行的,这些发现有助于阐明中山杉406的耐盐机制,对于滨海盐碱地中山杉406的生长管理有指导意义,也为高效利用落羽杉属基因资源发掘和种质创新提供重要的理论依据。

图1 不同盐度土壤施氮肥后中山杉406叶片表型变化

图2 不同盐度土壤施氮肥后中山杉406光合参数变化

图3 不同盐度土壤施氮肥后中山杉406光合氮利用效率
施钦助理研究员为论文第一作者,芦治国副研究员为论文通讯作者。研究得到“江苏落羽杉属树木育种及培育省级长基科研基地(LYKJ[2021]05)”和“典型湿地生态系统碳汇演化规律及控机理与增汇关键技术研究(BK20220016)”等项目的资助。