植物生态与环境研究中心举办学术报告
9月27日,植物生态与环境研究中心邀请中国科学院南京土壤研究所姚荣江副研究员做了题为《滨海盐渍农田障碍消减、地力提升与养分增效协同调控初步探讨》的学术报告。
359
2019.09.30
植物生态与环境研究中心
永盈彩票在海滨木槿VIGS体系构建方面取得新进展
植物生态与环境研究中心植物景观生态组建立了海滨木槿高效VIGS体系,为海滨木槿功能基因组学研究提供了技术支撑。
420
2019.09.02
科技管理处
永盈彩票在海滨木槿耐旱性研究方面取得新进展
植物生态与环境研究中心植物景观生态组以2年生海滨木槿扦插苗为材料,通过自然干旱20天后复水,研究其在干旱和复水过程中的光合作用和生理特性。
353
2019.09.02
科技管理处
我所科研人员参加第13届国际植物淹水学会会议
我所科研人员参加第13届国际植物淹水学会会议
412
2019.06.12
植物生态与环境研究中心
央视《中国新闻》报道了我所选育的中山杉在保护长江生态环境中的重要作用
2019年5月27日,央视《中国新闻》再一次报道了中山杉在守护长江“一江碧水”中的重要作用。
348
2019.05.28
植物生态与环境研究中心
永盈彩票在中山杉LecRLK家族基因的鉴定与功能分析方面取得阶段性进展
399
2019.05.27
科技管理处
植物生态与环境研究中心举办学术沙龙
2019年4月26日,植物生态与环境研究中心朱珣之副教授做了题为《紫茎泽兰主效化感物质的微生物降解及其对入侵的影响机制》的学术报告。
389
2019.04.28
植物生态与环境研究中心
南京林业大学谢冬博士到植物生态与环境研究中心开展学术交流
2019年3月22日,植物生态与环境研究中心邀请南京林业大学高层次引进人才、生物与环境学院副教授谢冬博士做了题为《湿地公园科研监测与应用》的学术报告。
386
2019.03.25
植物生态与环境研究中心
永盈彩票中山杉课题组开展长江流域中山杉人工林的实地调研
永盈彩票中山杉课题组开展长江流域中山杉人工林的实地调研
360
2018.12.17
植物生态研究中心
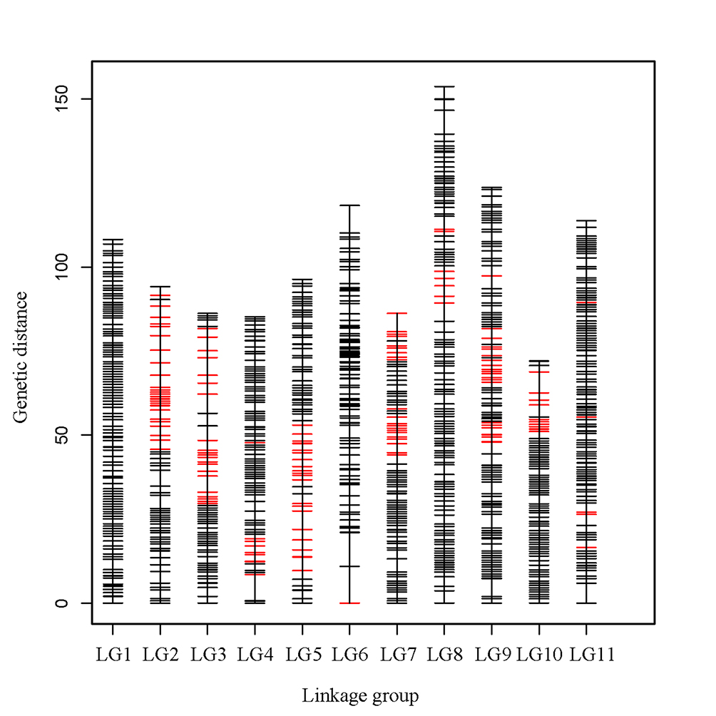
永盈彩票在中山杉遗传图谱构建及生长性状遗传机理研究方面取得阶段性进展
永盈彩票在中山杉遗传图谱构建及生长性状遗传机理研究方面取得阶段性进展
347
2018.11.12
植物生态研究中心
中国科学院植物研究所赖江山博士到我所进行学术交流
中国科学院植物研究所赖江山博士到我所进行学术交流
408
2018.11.01
植物生态研究中心
省自主创新项目“江苏典型退化湿地生态修复技术研究集成与示范”启动会在南京顺利召开
省自主创新项目“江苏典型退化湿地生态修复技术研究集成与示范”启动会在南京顺利召开
320
2018.10.29
植物生态研究中心